gerard Geschrieben vor 3 Stunden Geschrieben vor 3 Stunden Servus leute! Sie alle kennen Lotto, Keno und Co. Hier in Frankreich gibt es auch das Spiel Amigo. Es wird in Trafiken gespielt, genauer gesagt in den Trafiken von La Française des Jeux, denselben Trafiken, in denen Lotto- und EuroMillions-Lose entwertet werden. Falls Sie dieses Spiel noch nicht kennen, hier ein kurzer Überblick. 2 € ist der minimal Einsatz pro Raster. Das Spiel hat insgesamt 28 Zahlen. 1->28. Der Spieler muss 7 Zahlen ankreuzen. Es gibt blaue und gelbe Zahlen. Insgesamt werden pro Spiel 12 Zahlen gezogen. Mit diesen 12 Zahlen gewinnt der Spieler den Jackpot oder 25.000 €, wenn er alle 7 richtigen Zahlen (blau) hat. Die Zahlen danach sind die gelben Zahlen oder 5 Bonuszahlen. Damit können Spieler, die nicht alle 7 blauen Zahlen richtig haben, sondern beispielsweise 6 blaue Zahlen + 1 gelbe Zahl, trotzdem etwas gewinnen. Aber was noch wichtiger ist: Sie gewinnen mit allen 7 blauen Zahlen. Wie Sie und ich als erfahrene Roulettespieler wissen, gibt es beim Roulette drei einfache Chancen: Farben, gerade und ungerade sowie Manque und Passe. Also hier mal die ziehungen von dem Samstag. https://www.fdj.fr/jeux-de-tirage/amigo/resultats/samedi-18-octobre-2025 1 spiel/Ziehung jede 5 Minuten. https://www.zonedevie.com/illustrations/lot-amigo.webp also das sind die Gewinne! Heutzutage darf man nur noch maximal 8€ per Raster setzen. Andere Änderung gab es keine. So bemerkt man 25000€ Gewinn mit 7 Richtigen Blauen, und mit 6 Richtige Blaue + 1 Gelber = 600€ Also sie als Spieler wass Bemerkt ihr? Blaue und Gelben Zahlen Ziehung? So werden wir mal die Chancen Reduzieren, also für eine Bessere Strategie, mit weniger spiel kosten.
Silberdollar Geschrieben vor 1 Stunde Geschrieben vor 1 Stunde Du kaufst besser die Aktien von FDJ (Francaise de Jeux). 7.2% Dividende. 50% der Einzahlungen der Spieler werden einbehalten, nur 50% werden an die Gewinner ausbezahlt.
Hans Dampf Geschrieben vor 1 Stunde Geschrieben vor 1 Stunde vor 2 Stunden schrieb gerard: Also sie als Spieler wass Bemerkt ihr? Blaue und Gelben Zahlen Ziehung? So werden wir mal die Chancen Reduzieren, also für eine Bessere Strategie, mit weniger spiel kosten. Zitat Copilot: Spielregeln zusammengefasst Es gibt 28 Zahlen: 1 bis 28. Du wählst 7 Zahlen aus. Bei jeder Ziehung werden 12 Zahlen gezogen: 7 blaue Zahlen (Hauptgewinn-relevant) 5 gelbe Zahlen (Bonusgewinne) Wahrscheinlichkeiten berechnen Wir berechnen die Wahrscheinlichkeit, genau 7 blaue Zahlen zu treffen – also den Jackpot von 25.000 €. Gesamtanzahl möglicher Kombinationen Die Anzahl der möglichen 7er-Kombinationen aus 28 Zahlen ist: (287)=3.108.105\binom{28}{7} = 3.108.105 Wahrscheinlichkeit für 7 Richtige (alle blau) Es werden 7 blaue Zahlen aus den 12 gezogenen. Die Wahrscheinlichkeit, dass deine 7 gewählten Zahlen exakt mit diesen 7 blauen übereinstimmen, ist: P=1(287)≈0,00000032(ca. 1 zu 3 Millionen)P = \frac{1}{\binom{28}{7}} \approx 0{,}00000032 \quad \text{(ca. 1 zu 3 Millionen)} Beispiel für 6 blaue + 1 gelbe Hier wird es komplexer, weil wir aus deinen 7 gewählten Zahlen 6 unter den 7 blauen und 1 unter den 5 gelben treffen müssen. Die Berechnung lautet: P=(76)⋅(51)(287)=7⋅53.108.105≈0,0000113P = \frac{\binom{7}{6} \cdot \binom{5}{1}}{\binom{28}{7}} = \frac{7 \cdot 5}{3.108.105} \approx 0{,}0000113 Das entspricht etwa 1 zu 88.800 – also deutlich wahrscheinlicher als der Jackpot. Strategische Überlegung Mehrere kleine Gewinne sind realistischer als der Hauptgewinn. Kombinationen mit 6+1 oder 5+2 könnten gezielt angespielt werden. Statistische Analyse der Ziehungen (z. B. Häufigkeit bestimmter Zahlen) könnte helfen, Muster zu erkennen – ähnlich wie beim Roulette mit „heißen Zahlen“.
gerard Geschrieben vor 44 Minuten Autor Geschrieben vor 44 Minuten tja servus silberdollar! FDJ: Sportwettenanbieter gewinnen zu oft und die Regulierung wird strenger, FDJ United verliert dieses Jahr 29 % an der Börse Vor 5 jahre war sie bei knapp 50€, und zeit dies, nur Senkung, also 50% schon Verlust! Auf die 5 Jahre!, und ich habe kein Lust 5 jahren um zu warten, bis die Aktien wieder auf 50€ kommt. Oder noch weiter Senkt.
Hans Dampf Geschrieben vor 18 Minuten Geschrieben vor 18 Minuten Zitat Copilot: Gewinnwahrscheinlichkeiten beim Spiel Amigo Trefferkombination Beschreibung Gewinn (€) Wahrscheinlichkeit Verhältnis (ca.) 7 blaue Alle 7 gewählten Zahlen sind blaue Treffer 25.000 0,00000032 1 zu 3.108.105 6 blaue + 1 gelbe 6 blaue + 1 gelbe unter den 7 gewählten Zahlen 600 0,0000113 1 zu 88.800 6 blaue 6 blaue, keine gelbe 100 0,000158 1 zu 6.300 5 blaue + 2 gelbe 5 blaue + 2 gelbe 50 0,000395 1 zu 2.530 5 blaue + 1 gelbe 5 blaue + 1 gelbe 20 0,000790 1 zu 1.265 5 blaue 5 blaue, keine gelbe 10 0,001580 1 zu 633 Hinweis: Die Wahrscheinlichkeiten sind Näherungswerte basierend auf Kombinatorik. Die tatsächlichen Gewinnchancen können leicht variieren je nach Ziehungsverfahren.
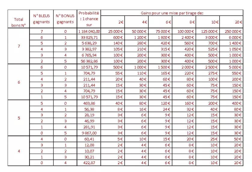
gerard Geschrieben vor 15 Minuten Autor Geschrieben vor 15 Minuten Servus mein lieber Genosse von roulette hans dampf! 7 Blaue + 0 Gelbe richtige zu finden = Chance 1/1184040 https://www.zonedevie.com/illustrations/lot-amigo.webp bitte sehe dir die 3. Kolonne Ann. Diese Kolonne = Dies war Berechnet von der Française des jeux, alle Zahlen von der Probabilitäten der Chancen zu herauszukommen oder um dies zu Gewinnen. So irgendwo soll weiter der Spieler 1/3 chance haben um zu Gewinnen. https://www.fdj.fr/jeux-de-tirage/amigo/resultats/samedi-18-octobre-2025 Also wir Roulette spieler haben eine Regel, oder eher Mehre. Eine davon ist immer Abzuwarten, bis es ein Grünes Licht Gebe. Also schauen wir mal kurz, in dem Fall, ein Spieler wäre um Nr. 159 Gekommen ok? Nehmen wir weiter ann, der Spieler hat ein bock und will Einfache Chancen Spielen. Hier 1->14 Manque und 15->28 Passe ok? So hier schon sind es nicht mehr 1/1184040 denn 50% chance. so hier nur noch 1/592020 dies soll ja korrekt sein oder nicht?
gerard Geschrieben vor 11 Minuten Autor Geschrieben vor 11 Minuten neh mein lieber hans du liegst Falsch! 3. Kol = Berechnete Chancen. 4. Kol. = Gewinn 7 0 1184040 25000 6 1 33829,71 600 5 2 5638,29 140 4 3 3382,97 105 3 4 6775,94 100 2 5 56382,86 100
Recommended Posts
Erstelle ein Benutzerkonto oder melde dich an, um zu kommentieren
Du musst ein Benutzerkonto haben, um einen Kommentar verfassen zu können
Benutzerkonto erstellen
Neues Benutzerkonto für unsere Community erstellen. Es ist einfach!
Neues Benutzerkonto erstellenAnmelden
Du hast bereits ein Benutzerkonto? Melde dich hier an.
Jetzt anmelden